# 图像上脆弱性数字水印
# 任务

# 脆弱性数字水印
脆弱性数字水印(Fragile Watermark)是一种数字水印技术,通常用于保护数字图像的完整性。与一般数字水印不同,脆弱性数字水印对图像的修改非常敏感,一旦图像被篡改,水印就会受到破坏,从而使得篡改更容易被检测到。
脆弱性数字水印主要用于验证图像的完整性和真实性。它可以被嵌入到数字图像中,通常通过修改图像的像素或频域信息。当图像被篡改时,水印就会受到破坏,导致可视或计算上的变化。这种类型的数字水印对于需要确保图像未被篡改的场景非常有用,比如法庭上的数字图像证据、数字艺术品的保护等。
分为空间域和频域的信息隐藏。
# 调研
# 5. QIM
Quantization Index Modulation:量化索引调制
-
空域
-
原理
根据水印信息,把原始载体数据用量化器量化到不同的索引区间,水印检测时则根据调制后的数据所属的量化索引区间来识别水印信息
- 二值量化索引调制
- 按照待嵌入的二进制水印 比特 b∈+1,−1�∈+1,−1,选择使用两个均匀量化器中的一个对载体信号进行量化处理
基于量化思想的水印嵌入模型的主要目的是为了实现盲检测。其主要思想是根据水印信息的不同将原始载体数据量化到不同的量化区间,而检测时根据所属的量化区间来识别水印信息。
常见的两种量化方式是 QIM 和 SCS 方法,前一种方法是稳健的,主要用于版权保护后一种方法是脆弱的,主要用于内容认证。
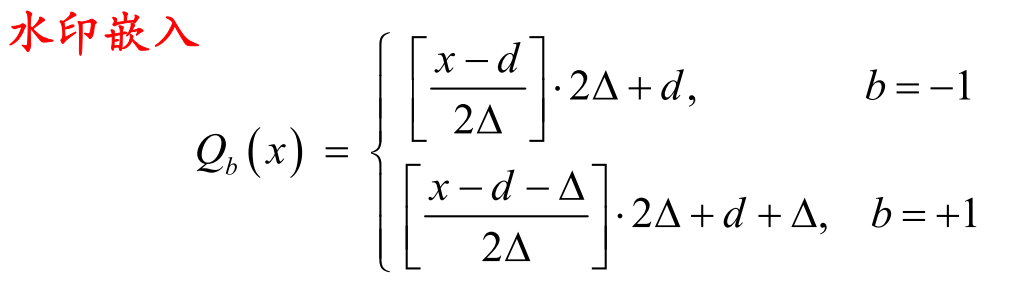
QIM 的主要思想:将坐标轴等间隔划分成 A 区间集与 B 区间集,区间大小为△。规定 A 区间集代表 0,B 区间集代表 0, 根据水印值是 0 或 1, 调整待嵌入水印的值,使其等于离自己最近的对应区间内的中间值,当检测水印时,只需判断该数值落在的区间是 A 集还是 B 集,就可以得到对应的水印信息是 0 或 1。
- 二值量化索引调制
-
实现
![img1]()

* 鲁棒性
QIM 算法在透明性好的前提下可以在椒盐噪声、中值滤波和剪切攻击下能正确提取水印信息,即 QIM 水印算法能在获取较小嵌入失真同时,具有较高的鲁棒性

# 方法
-
空间域方法:LSB 方法
-
变换域方法:DCT 变换域方法
-
其他方法
